• Предмет: Алгебра
  • Автор: sanya6457
  • Вопрос задан 10 лет назад

помогите
7x квадрат -28
3a в кубе -108a
3x в 4 степ. -3x квадрат y квадрат
4m квадрат m в 4 степ. - 64 m квадрат m в 4 степ.
3x в квадрате - 48xy +192 y в квадрате
-75b в 6 степ. +30b в 4 степ. -3b в квадрате
2x в 6 степени -16y в 9 степ.
a в 4 степ. -a в кубе b +ab в кубе - b в 4 степ.
x +4y +x в квадрате -16y в квадрате
x в квадрате y в 5 степ. -y в 5 степ. -x в квадрате y в квадрате +y в квадрате

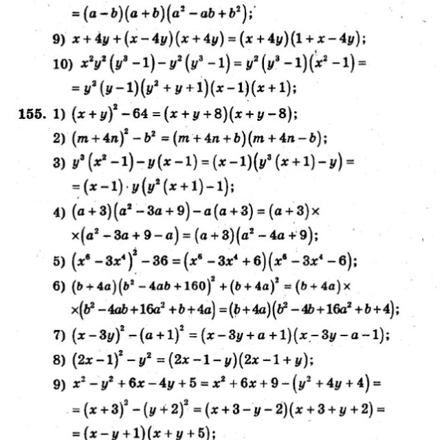
Приложения:

Ответы

Ответ дал: zhenyuha124
0
Вот так :)) удачного списывания :)))
Приложения:
Ответ дал: zhenyuha124
0
вдруг чего пиши !!
Ответ дал: sanya6457
0
блин 154 не полный номер
Ответ дал: zhenyuha124
0
Ааа
Вас заинтересует