• Предмет: Геометрия
  • Автор: ivanivashina85
  • Вопрос задан 1 год назад

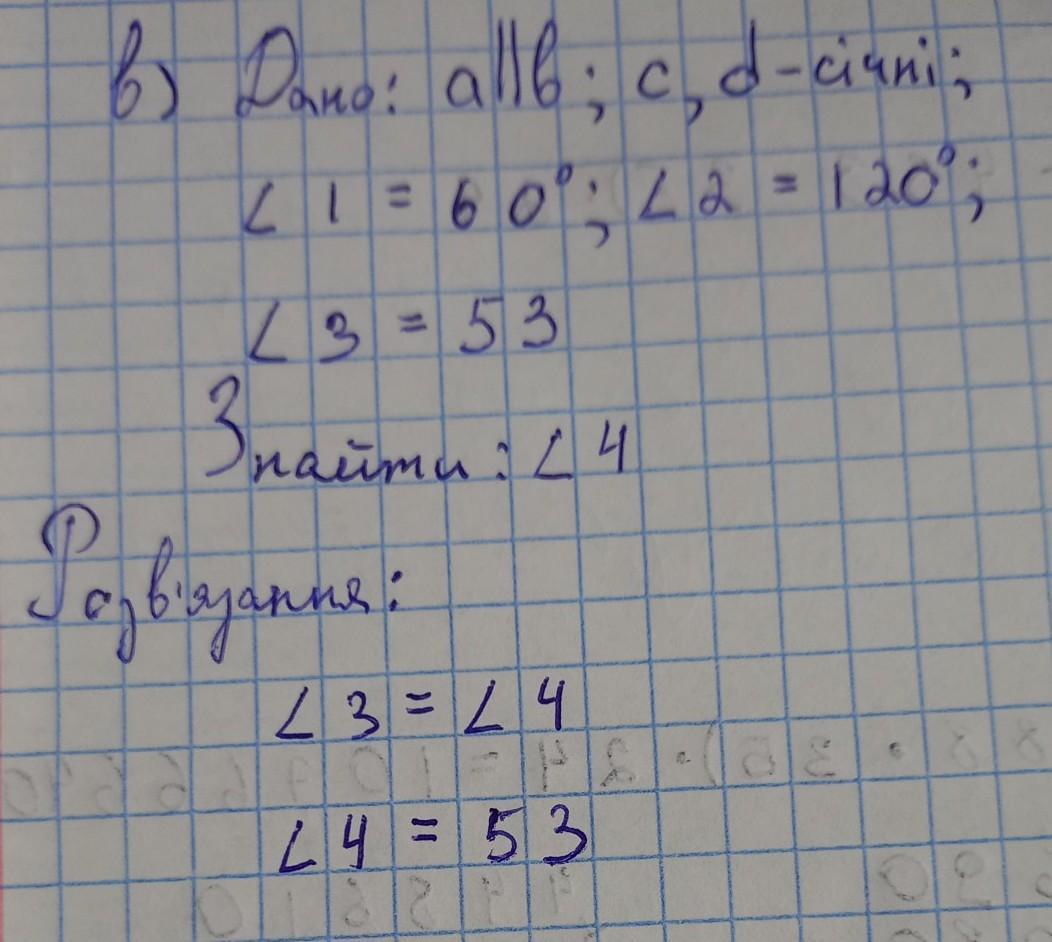
2. Прямi а іi ь перетинаються прямою с. Зна- йти: Mu a) всі позначені на рисунку кути, якщо вiдомо, що а||b i ​ все пж

Приложения:

Ответы

Ответ дал: zap040111
0

Объяснение:

ми цю тему недавно проходили))

Приложения:
Вас заинтересует