Ответы
Ответ дал:
1
Ответ:
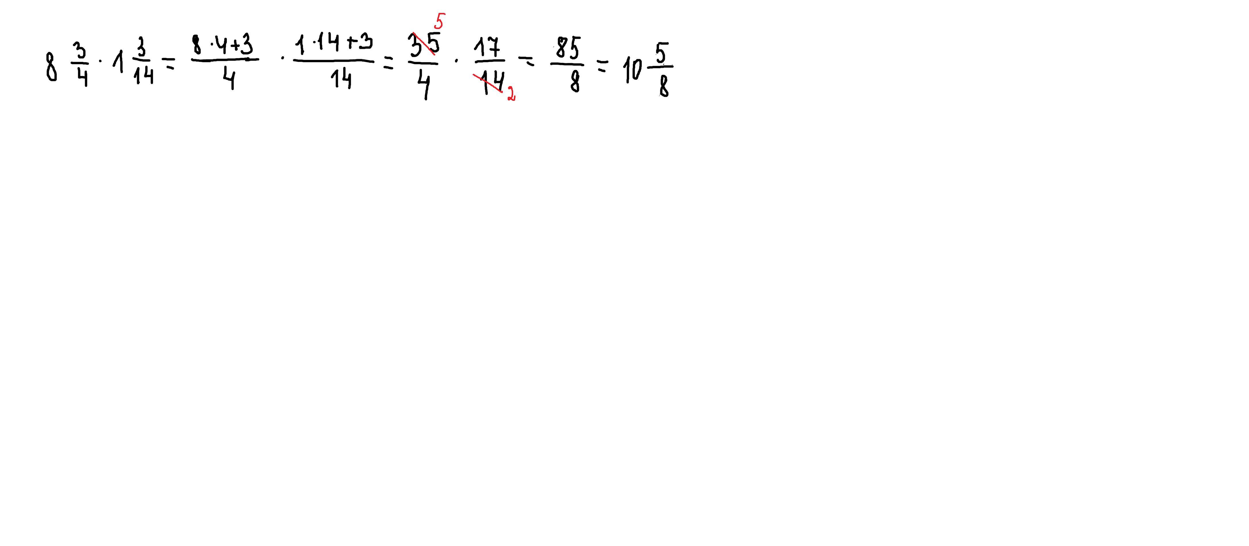
10 5/8
Пошаговое объяснение:
решение внизу
Приложения:

Вас заинтересует
1 год назад
1 год назад
1 год назад
1 год назад
2 года назад
8 лет назад
8 лет назад