• Предмет: Алгебра
  • Автор: salkarabdagamitov
  • Вопрос задан 2 года назад

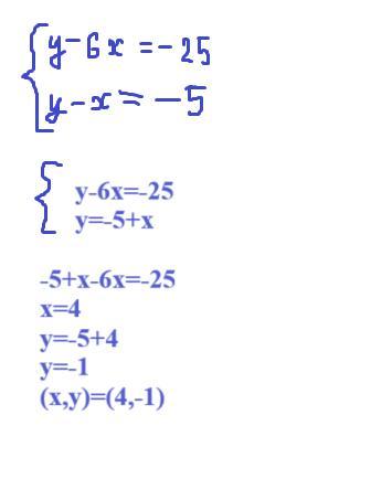
3) y-6x=-25, y-x=-5; ​

Ответы

Ответ дал: dasab8930
2

Ответ: (х,у)=4,-1

Объяснение: на фото

Приложения:
Ответ дал: olesyasyssoyeva
0

Ответ:

{y-6x=-2s

{y-x=-5

y-6x=-25

ответ: (4;-1)

Приложения:
Вас заинтересует