• Предмет: Математика
  • Автор: mariturenko
  • Вопрос задан 1 год назад

Помогите! СРОЧНО
Даю 50 баллов​

Приложения:

Ответы

Ответ дал: iramazurk
0

Пошаговое объяснение:

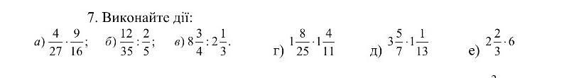
4/27 * 9/16 = 1/3 * 1/4 = 1/12

12/35 : 2/5 = 12/35 * 5/2 = 6/7 * 1/1 = 6/7

8 3/4 : 2 1/3 = 35/4 : 7/3 = 35/4 * 3/7 = 5/4 * 3/1 = 15/4 = 3 3/4

1 8/25 * 1 4/11 = 33/25 * 15/11 = 3/5 * 3/1 = 9/5 = 1 4/5

3 5/7 * 1 1/13 = 26/7 * 14/13 = 2/1 * 2/1 = 4/1 = 4

2 2/3 * 6 = 8/3 * 6 = 48/3 = 16

Вас заинтересует