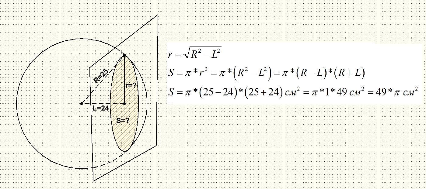
Кулю, радіус якої 25 см, перетнуто площиною на відстані 24 см від її центра. Знайдіть площу утвореного перерізу.
Чекаю на розгорнуту відповідь (малюнок, повна умова та розписане розв'язання).
IUV:
щодо повної умови не обіцяю, але малюнок зробити можу,і обчислення
так підійде ?
Ответы
Ответ дал:
1
Відповідь:
Пояснення:
Приложения:

Вас заинтересует
1 год назад
1 год назад
1 год назад
1 год назад
2 года назад
2 года назад