• Предмет: Алгебра
  • Автор: mitmita
  • Вопрос задан 2 года назад

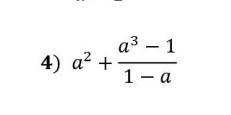
Обчислить значение выражения ​

Приложения:

Ответы

Ответ дал: iryna04
1

4) \:  {a}^{2}  +  \frac{a {}^{3} - 1 }{1 - a}  =  \frac{a {}^{2} - a {}^{3}  +a {}^{3} - 1  }{1 - a}  =  \frac{ {a}^{2}  - 1}{1 - a}  =

 =  \frac{(a - 1)(a + 1)}{ - (a - 1)}  =  - a - 1

Вас заинтересует