Ответы
Ответ дал:
2
Ответ:
Пошаговое объяснение:
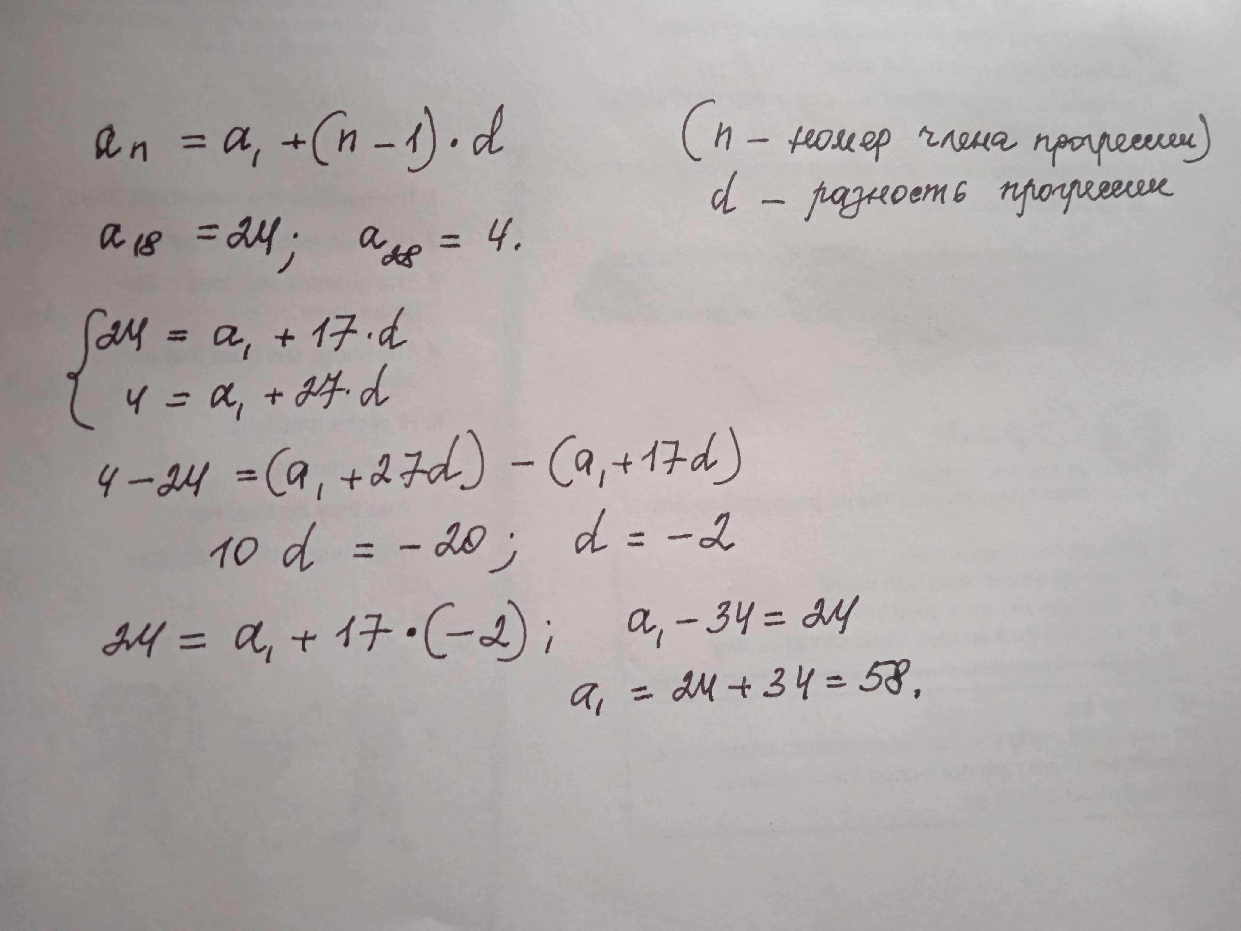
Если a18=24 и a28=4 то общая разность прогрессии d можно найти из уравнения:
a28=a18+10d
Подставим известные значения:
4=24+10d
Отсюда d=-2
Теперь зная общую разность мы можем найти первый член прогрессии a1 из уравнения a18=a1+17d
Также подставим значения:
24=а1-34
Отсюда а1=58.
Ответ дал:
1
Ответ:
на фото
Пошаговое объяснение:
Приложения:

Вас заинтересует
1 год назад
1 год назад
1 год назад
1 год назад
2 года назад
8 лет назад