• Предмет: Математика
  • Автор: orinernar
  • Вопрос задан 1 год назад

Реши логарифмических уравнение Loq3(2x-1)=2​

Ответы

Ответ дал: filenlynav
0

Ответ:

Пошаговое объяснение:

3²=2х-1

2х-1=9

2х=9+1

2х=10

х=10:2

х=5

Ответ: 5

Ответ дал: ildar502020
0

Ответ:

Пошаговое объяснение:

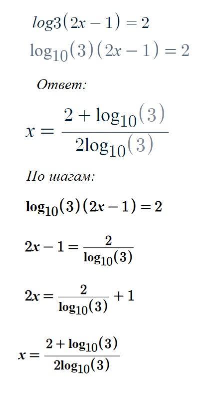
Loq3(2x-1)=2​

Исправление

log3(2x-1)=2.

(Решение и ответ см. скриншот)

Приложения:
Вас заинтересует