• Предмет: Геометрия
  • Автор: texnou882
  • Вопрос задан 1 год назад

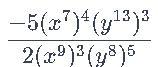
знайди значення дробу .Даю 100 балів

Приложения:

Ответы

Ответ дал: venek22222
1

Ответ:

-5х/2у

Объяснение:

степень за скобкой и степень над х или у перемножаеться ,потом сокращаеться

Приложения:
Ответ дал: melvadum
0

Ответ:

во

Объяснение:

Приложения:
Вас заинтересует