• Предмет: Алгебра
  • Автор: gavrilyukvadim050626
  • Вопрос задан 1 год назад

Допоможіть будь ласка

Приложения:

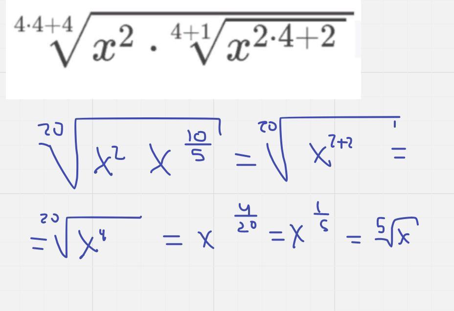
Ответы

Ответ дал: bena20193
1

Ответ:

Объяснение:

Решення

Приложения:
Вас заинтересует