Ответы
Ответ дал:
0
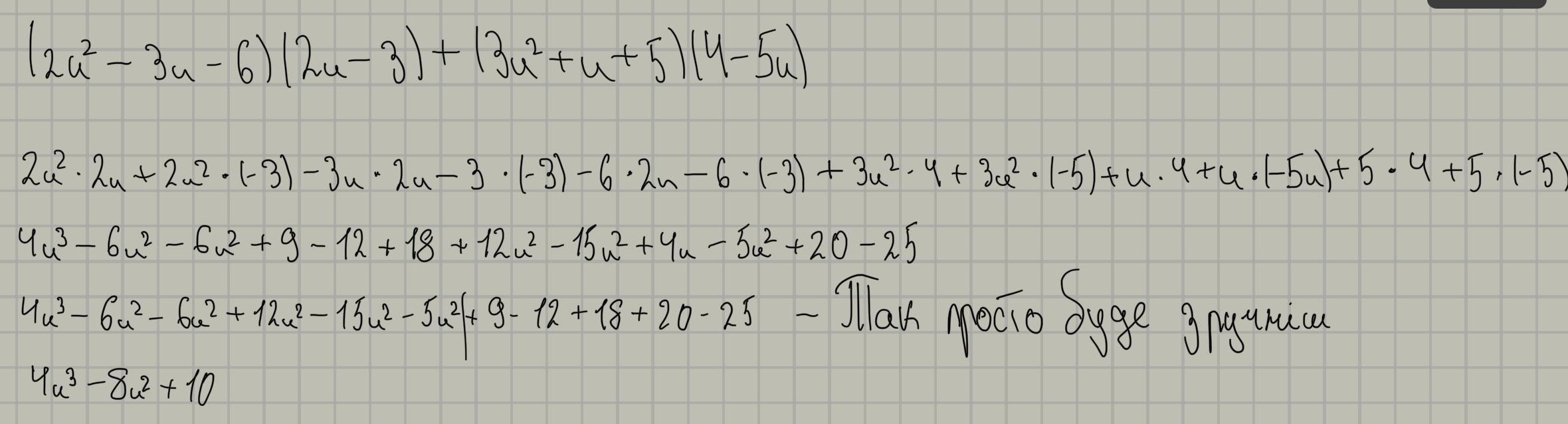
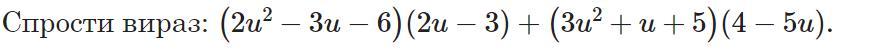
Відповідь:
Пояснення:
Приложения:

Вас заинтересует
1 год назад
1 год назад
1 год назад
2 года назад
8 лет назад