• Предмет: Математика
  • Автор: Odamyus
  • Вопрос задан 2 года назад

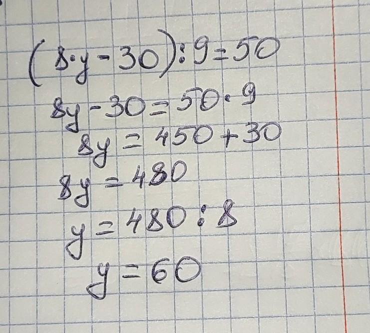
Помогите решить уравнение пж(8•y-30):9=50

Ответы

Ответ дал: tetamotatetyamotya
1

Ответ:

................

Пошаговое объяснение:

........

Приложения:
Ответ дал: shatilova65133
1

Ответ:

(8*y-30):9=50

8*y-30=9*50

8*y-30=450

8*y=450+30

8*y=480

y=480:8

y=60

Пошаговое объяснение:

Вас заинтересует