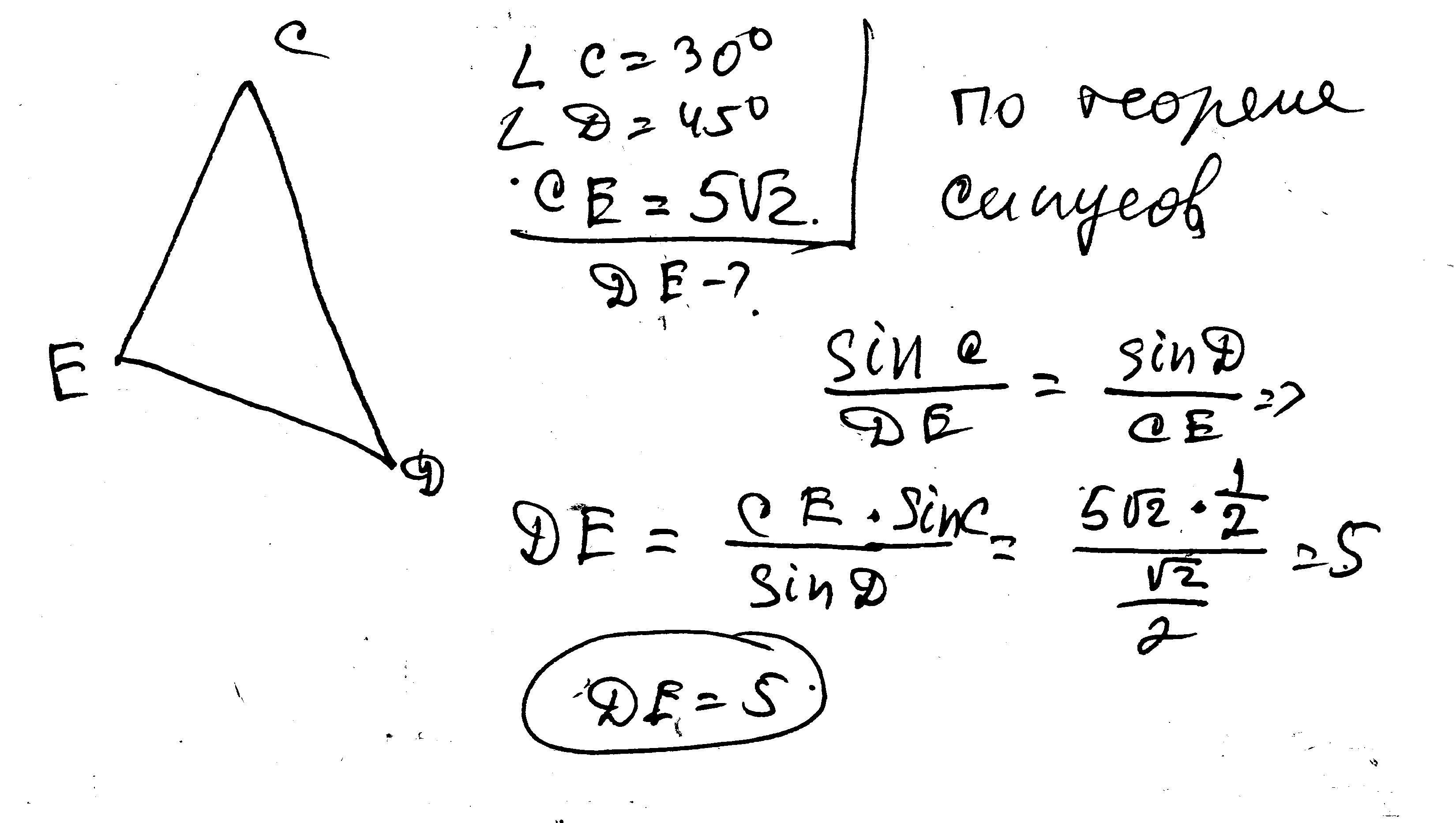
В треугольнике CDE угол C=30 градусом, угол D=45градусом, CE=5 корень из 2-ух
Найти DE
желательно хорошее решение что-бы было
Ответы
Ответ дал:
0
решение в скане.....................
Приложения:
Вас заинтересует
3 года назад
3 года назад
8 лет назад
8 лет назад
11 лет назад
11 лет назад
11 лет назад