• Предмет: Алгебра
  • Автор: drulyakmaksim
  • Вопрос задан 1 год назад

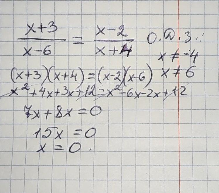
Допоможіть даю 20 балів будь ласка розкрите рішення

Приложения:

Ответы

Ответ дал: tetamotatetyamotya
1

Ответ:

..........

Объяснение:

...............

Приложения:
Вас заинтересует