• Предмет: Химия
  • Автор: svetikbelinskaya96
  • Вопрос задан 1 год назад

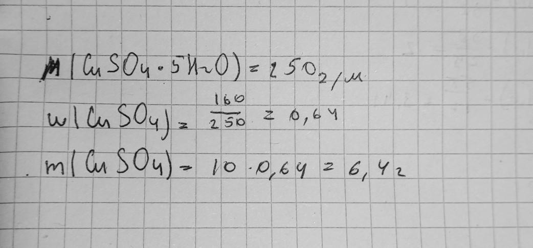
Яка маса безводної солі,що міститься в 10 г CuSO4*5H2O

Ответы

Ответ дал: linklllo0z
1

Ответ:

Ответ на фотографии, удачи

Приложения:
Вас заинтересует