• Предмет: Математика
  • Автор: Звездочка27
  • Вопрос задан 10 лет назад

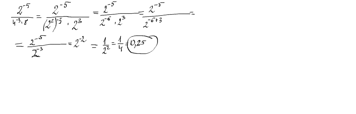
Вычислите 2(В степени -5)/4(в степени -3)*8

Ответы

Ответ дал: Аноним
0
Решение во вложении.))))))))))
Приложения:
Ответ дал: Звездочка27
0
Ответ:0,25
Ответ дал: Аноним
0
может быть я не так записала исходный пример,данный тобой?
Ответ дал: Аноним
0
я все поняла, сейчас исправлю.
Вас заинтересует