Ответы
Ответ дал:
0
Ответ:
вроде правильно
Объяснение:
должно так быть
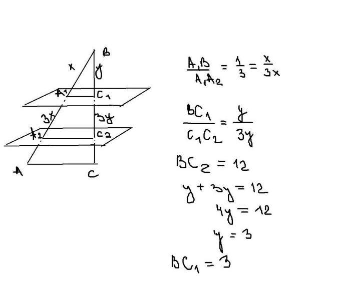
Приложения:

Вас заинтересует
1 год назад
1 год назад
1 год назад
1 год назад
2 года назад
8 лет назад