Задайте дану функцію формулою виду у = а (х - m)² + n і побудуйте її графік, використовуючи графік функції y=ax^ 2 .
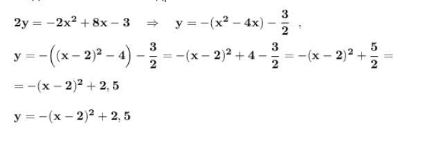
2 y = -2x² + 8x – 3.
Ответы
Ответ дал:
1
Решение .
Выделяем полный квадрат .
Сначала строим график функции . Это парабола, ветви вниз , вершина в точке (0;0) , проходит через точки (1;-1) , (-1;-1) .
Затем сдвигаем эту параболу на 2 единицы вправо по оси ОХ и на 2,5 единицы вверх по оси ОУ .
Приложения:


Вас заинтересует
1 год назад
1 год назад
1 год назад
1 год назад
2 года назад
2 года назад
8 лет назад