Ответы
Ответ дал:
1
Ответ:
Надіюсь допомогла трохи
Приложения:

Ответ дал:
1
Пошаговое объяснение:
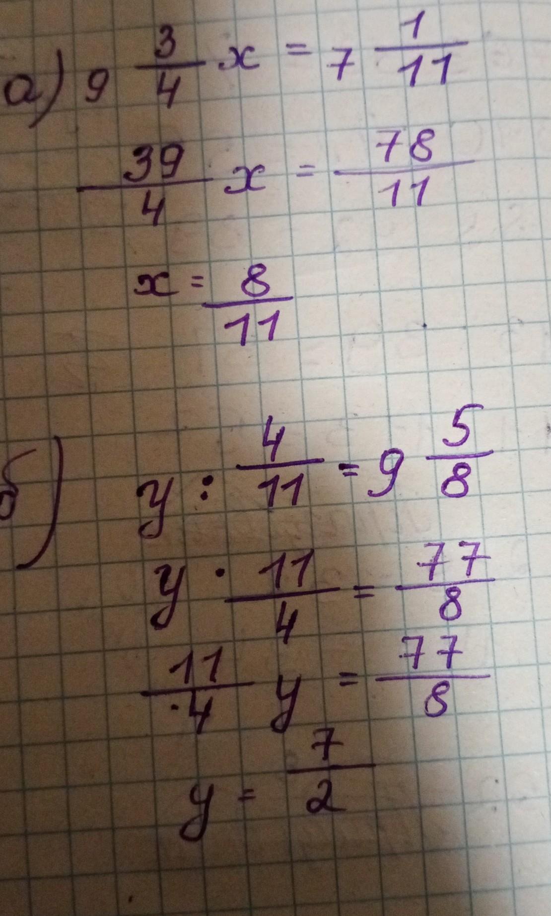
9 3/4х = 7 1/11
39/4х = 78/11
х = 78/11 : 39/4
х = 78/11 * 4/39
х = 2/11 * 4/1
х = 8/11
у : 4/11 = 9 5/8
у = 9 5/8 * 4/11
у = 77/8 * 4/11
у = 7/2 * 1/1
у = 7/2
у = 3 1/2
Вас заинтересует
1 год назад
1 год назад
1 год назад
1 год назад
2 года назад
2 года назад
8 лет назад