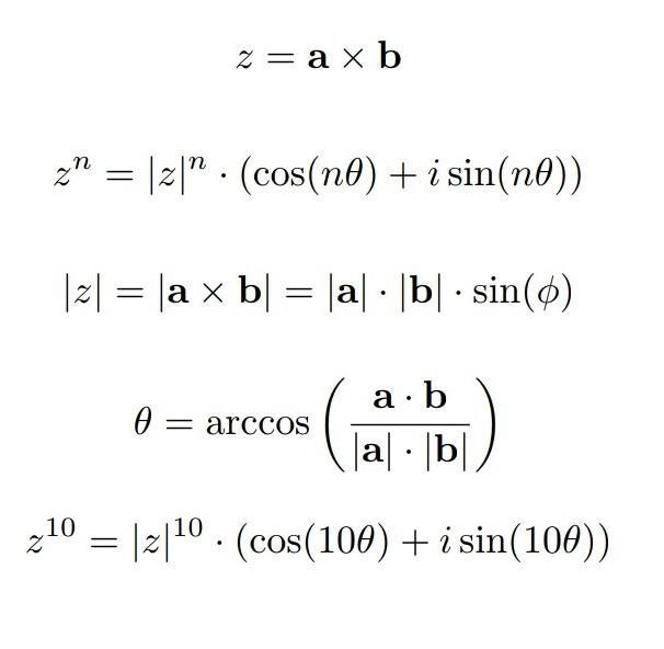
Записать (z)^10, когда z - комплексное число, представленное вектором, полученным в результате векторного произведения векторов а и б, представленных графически:
Ответы
Ответ дал:
1
Ответ:
..............................
Приложения:

Вас заинтересует
1 год назад
1 год назад
1 год назад
1 год назад
2 года назад
8 лет назад