Ответы
Ответ дал:
0
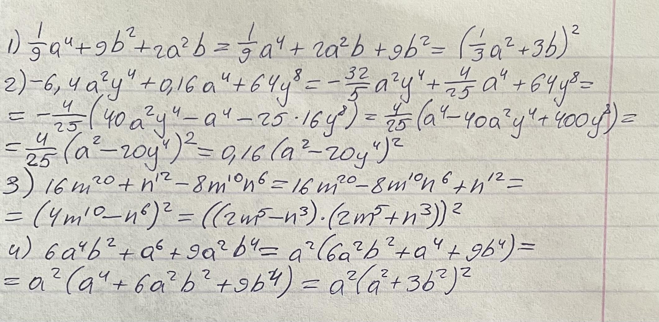
Ответ:Надеюсь правильно
Объяснение:
Приложения:

Вас заинтересует
1 год назад
1 год назад
1 год назад
1 год назад
2 года назад
2 года назад
8 лет назад
8 лет назад