• Предмет: Алгебра
  • Автор: elenaaliev
  • Вопрос задан 1 год назад

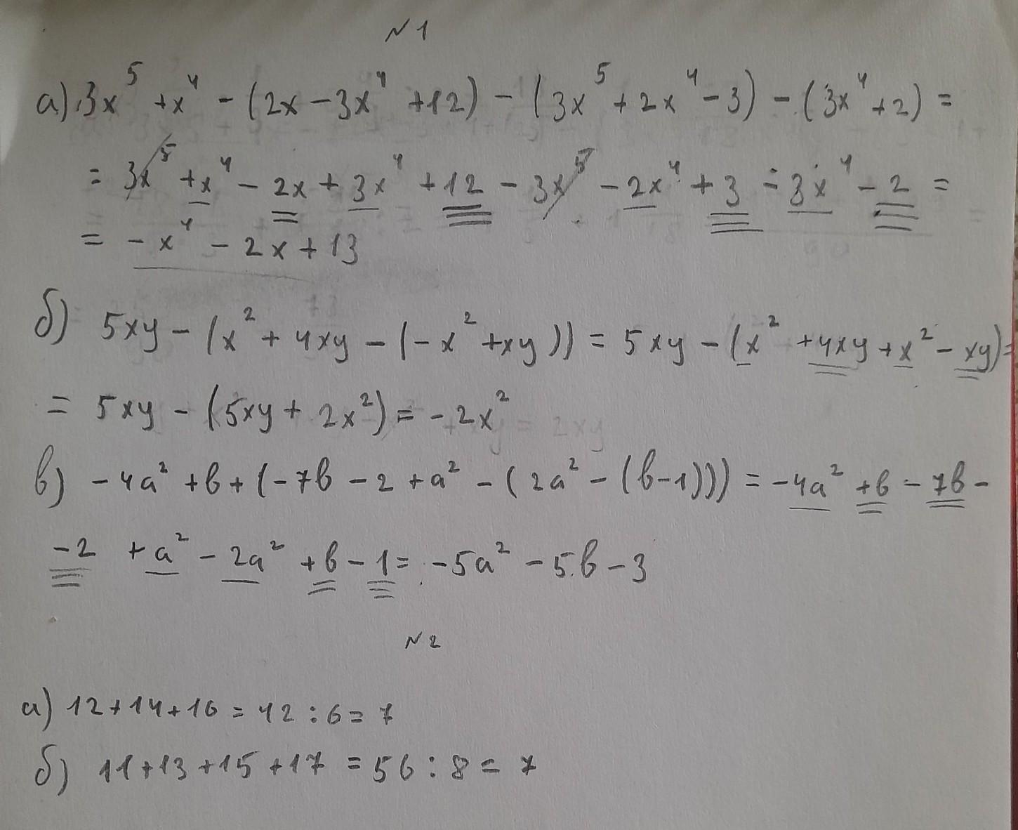
Спрости вирази: а) 3х5 + х4 – (2х – 3х4 + 12 ) – (3х5 + 2х4 – 3 ) – (3х4 + 2); б) 5ху – (х2+ 4ху – (–х2 + ху)); в) –4а2 + b + (–7b – 2 + а2 – (2а2 – (b – 1))). Доведи, що: а) сума трьох послідовних парних чисел ділиться на 6; б) сума чотирьох послідовних непарних чисел ділиться на 8

Ответы

Ответ дал: qwteuos
3

все на фото

.......................

Приложения:

elenaaliev: что означают подчеркивания 3 раза или 2 или один?
elenaaliev: что означают подчеркивания?
qwteuos: подібні члени. это писать не обязательно. просто меня так учили)
elenaaliev: дякую
Вас заинтересует