• Предмет: Алгебра
  • Автор: smelevasofa96
  • Вопрос задан 1 год назад

ДОПОМОЖІТЬ БУДЬ ЛАСКА!ДАМ 70б!​

Приложения:

Ответы

Ответ дал: MrFlyguy
0

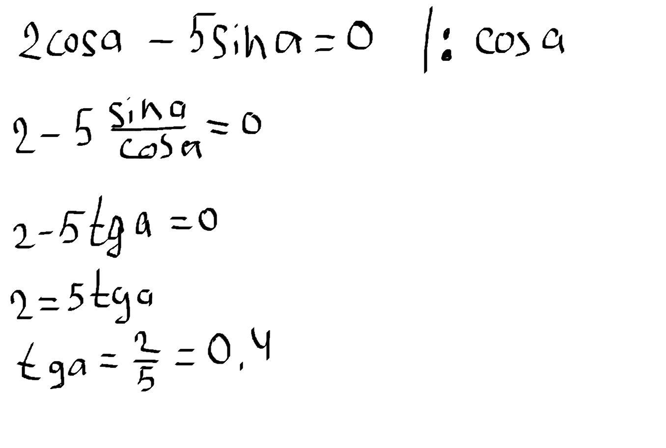
Ответ:

0.4

Объяснение:

На фото

Приложения:
Вас заинтересует