• Предмет: Математика
  • Автор: kotiklikol
  • Вопрос задан 1 год назад

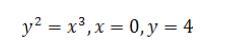
Все подробно расписать. Вычислить площадь фигуры, которая ограничена данными линиями:

Приложения:

Ответы

Ответ дал: NNNLLL54
0

Ответ:

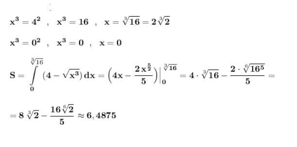
Область ограничена полукубической параболой  у² = х³ , прямыми

х = 0 и  у = 4 .  Вычислить площадь области .

Точки пересечения :

\displaystyle \bf x^3=4^2\ \ ,\ \ x^3=16\ \ ,\ \ x=\sqrt[3]{\bf 16}=2\sqrt[3]{\bf 2}\\\\x^3=0^2\ \ ,\ \ x^3=0\ \ ,\ \ x=0\\\\S=\int\limits_0^{\bf \sqrt[3]{16}}\, (4-\sqrt{x^3})\, dx=\Big(4x-\frac{2\, x^{\frac{5}{2}}}{5}\Big)\Big|_0^{\sqrt[3]{\bf 16}}=4\cdot \sqrt[3]{\bf 16}-\frac{2\cdot \sqrt[6]{\bf 16^5}}{5}=\\\\\\=8\, \sqrt[3]{\bf 2}-\frac{16\sqrt[6]{\bf 2}}{5}\approx 6,4875      

Приложения:

mgricuk789: Доброго ранку! Допоможіть, будь ласка, з алгеброю. Завдання в профілі.
lavrovskyi: Доброго вечера
Не могли бы вы мне помочь с Алгеброй?
https://znanija.com/task/54274983 (здесь нужно решить 2 уравнения)
https://znanija.com/task/54275010 (здесь нужно найти область определения функции)
Вас заинтересует