• Предмет: Геометрия
  • Автор: sbalandina628
  • Вопрос задан 2 года назад

Вектора геометрия, 100 баллов. Срочно

Приложения:

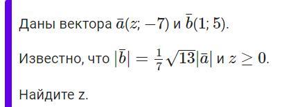
ВикаБач: |b|^2=1+25=26; |a|^2=z^2+49; z^2+49=26*49/13=2*49; z^2=49; z=7;

Ответы

Ответ дал: aselsadyrbekkizi
0

Ответ:

1:5/7-7

0+13-7/5

значит з5

Вас заинтересует