• Предмет: Алгебра
  • Автор: kirillleftor44
  • Вопрос задан 1 год назад

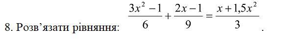
допоможіть будь ласка вирішити рівняння

Приложения:

Ответы

Ответ дал: Universalka
1

\displaystyle\bf\\\frac{3x^{2} -1}{6}+\frac{2x-1}{9} =\frac{x+1,5x^{2} }{3}  \\\\\\\frac{3x^{2} -1}{6}\cdot 18+\frac{2x-1}{9}\cdot 18 =\frac{x+1,5x^{2} }{3}\cdot 18\\\\\\(3x^{2} -1)\cdot 3+(2x-1)\cdot 2=(x+1,5x^{2} )\cdot 6\\\\\\9x^{2} -3+4x-2=6x+9x^{2} \\\\\\9x^{2} -5+4x=6x+9x^{2}\\\\\\9x^{2} +4x-6x-9x^{2}=5\\\\\\-2x=5\\\\\\\boxed{x=-2,5}


lavrovskyi: Добрый день
Не могли бы вы мне помочь с Алгеброй?
https://znanija.com/task/54274983 (здесь нужно решить 2 уравнения)
https://znanija.com/task/54275010 (здесь нужно найти область определения функции)
Вас заинтересует