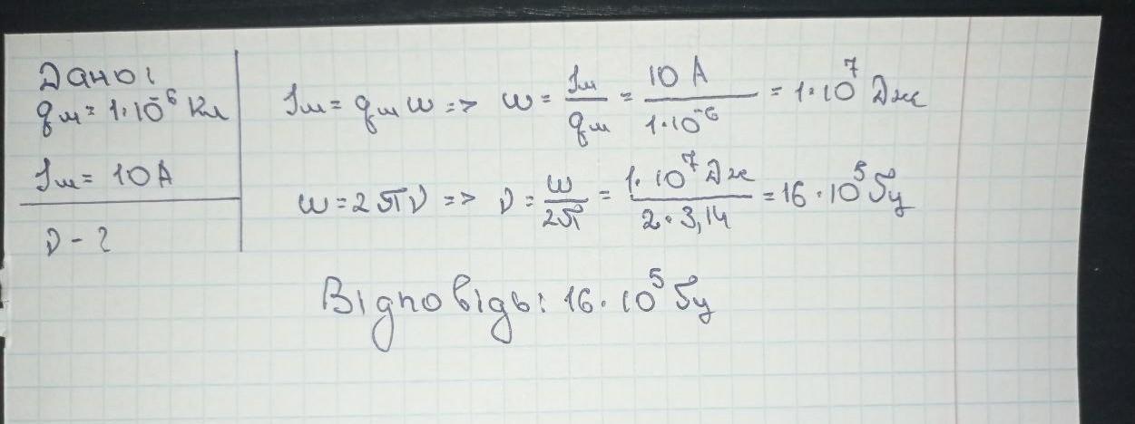
У коливальному контурі відбуваються вільні гармонічні коливання. Знаючи, що максимальний заряд конденсатора 1 мкКл, а максимальна сила струму в котушці 10 А, визначте власну частоту коливань у контурі.
Ответы
Ответ дал:
0
Відповідь у фото нижче:
Приложения:
Вас заинтересует
1 год назад
1 год назад
1 год назад
1 год назад
3 года назад
3 года назад
8 лет назад
8 лет назад