• Предмет: Математика
  • Автор: 7777God7777
  • Вопрос задан 1 год назад

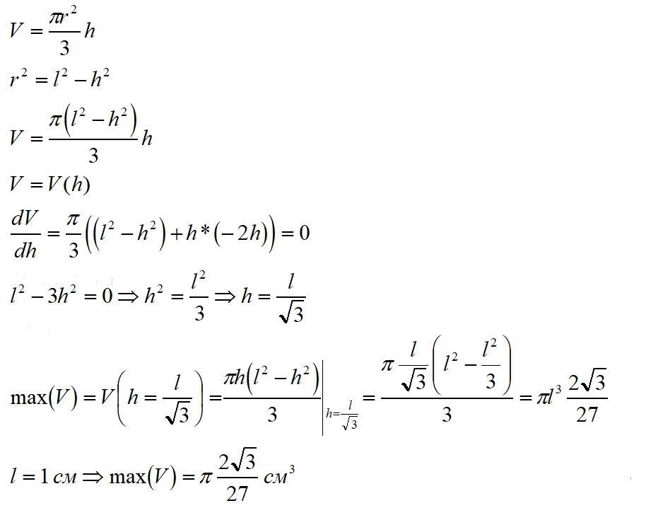
Знайти найбільший об’єм конуса, твірна якого дорівнює 1. (Математичний аналіз)


IUV: https://prnt.sc/NEYS264Hnndo
7777God7777: А роз'язок можеш дати?

Ответы

Ответ дал: IUV
0

Відповідь:

Покрокове пояснення:

Приложения:
Вас заинтересует