• Предмет: Алгебра
  • Автор: KaterinaLox
  • Вопрос задан 1 год назад

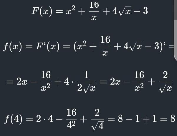
знайти область визначення функції. даю 100 б.!!!!!

Приложения:

Ответы

Ответ дал: erkenazbaitakov
0

Ответ:

дұрыспа білмеймін хз хз хз хз

Приложения:
Вас заинтересует