• Предмет: Алгебра
  • Автор: viktoria83446
  • Вопрос задан 1 год назад

Помогите пожалуйста ​

Приложения:

Ответы

Ответ дал: dobra888
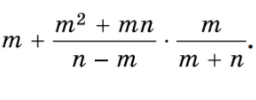
1

Відповідь:      mn/( n - m ) .

Пояснення:

 m  + ( m² + mn )/( n - m ) * m/( m + n ) =

 1) ( m² + mn )/( n - m ) * m/( m + n ) = m( m + n )/( n - m ) * m/( m + n ) =

      = m²/( n - m ) ;

2) m + m²/( n - m ) = [ m( n - m ) + m² ]/( n - m ) = ( mn - m² + m²)/( n - m ) =  

       = mn/( n - m ) .

Вас заинтересует