Ответы
Ответ дал:
0
длаем замену переменной u=2x

как видите константу сразу вынесли за знак интеграла
делаем еще одну замену переменной
u1=sin(u)

производим обратную замену переменной

поизводим еще одну замену переменной

вот, пожалуй, и все :)
как видите константу сразу вынесли за знак интеграла
делаем еще одну замену переменной
u1=sin(u)
производим обратную замену переменной
поизводим еще одну замену переменной
вот, пожалуй, и все :)
Ответ дал:
0
думаю, что теперь без претензий?
Ответ дал:
0
без, но в понимании косеканса проблема
Ответ дал:
0
виртуально не объясню... :) прости.
Ответ дал:
0
ну ладно)
Ответ дал:
0
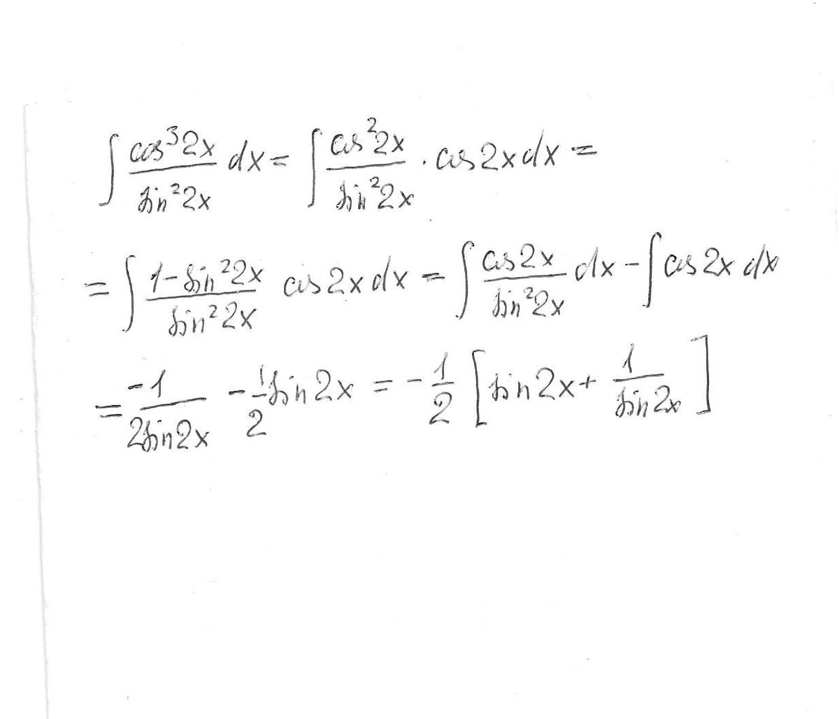
решение в файле.......................................
Приложения:
Вас заинтересует
3 года назад
3 года назад
8 лет назад
8 лет назад
11 лет назад
11 лет назад
11 лет назад