• Предмет: Алгебра
  • Автор: SmileyMiley
  • Вопрос задан 10 лет назад

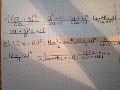
Умножение и деление рациональных выражений.
1) (a+3)^2/2a-4 Умножить  a^2-4/3a+9
2) (2х-и)^2 разделить 4x^3-xи^2/3
Плиз помогите

Ответы

Ответ дал: aimautova
0
Вот решение:-) Конечно написано не очень ) 
Приложения:
Вас заинтересует