Ответы
Ответ дал:
0
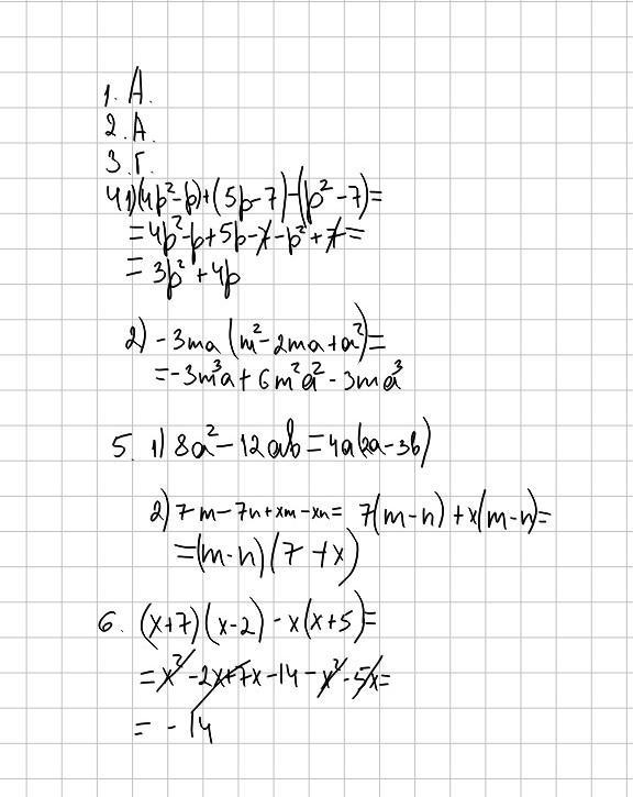
Ответ:
........................
Приложения:

Вас заинтересует
1 год назад
1 год назад
1 год назад
1 год назад
2 года назад
2 года назад