• Предмет: Математика
  • Автор: banka15
  • Вопрос задан 2 года назад

СРОЧНО ПОЖАЛУЙСТА!!

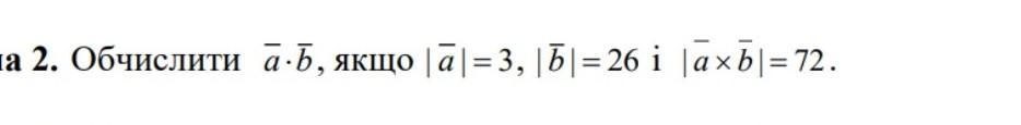
Приложения:

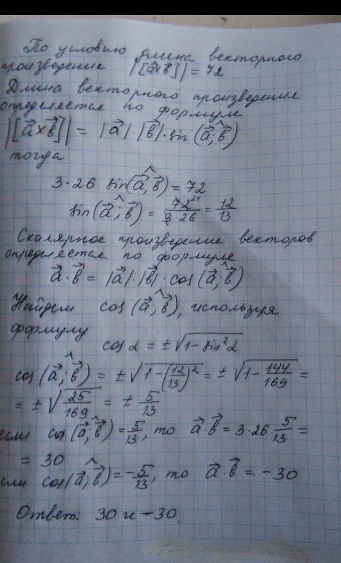
Ответы

Ответ дал: wonwonqw
1

Ответ:

На

Пошаговое объяснение:

кздвләләшыдләгәзуһуқаүда

Приложения:
Вас заинтересует