• Предмет: Алгебра
  • Автор: ladnookda
  • Вопрос задан 1 год назад

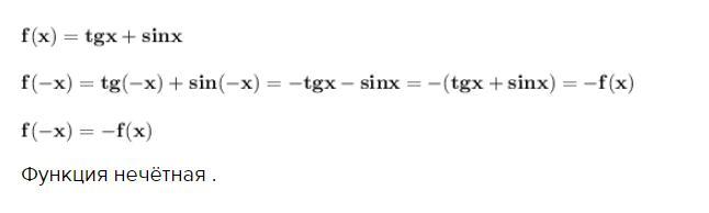
дослідіть на парність функцію: f(x) = tg x + sin x

Ответы

Ответ дал: Alnadya
2

Решение .

Функция  у = f(x)  нечётная, если выполняется равенство  f(-x) = -f(x) .

\bf f(x)=tgx+sinx\\\\f(-x)=tg(-x)+sin(-x)=-tgx-sinx=-(tgx+sinx)=-f(x)\\\\f(-x)=-f(x)

Функция нечётная .

Приложения:
Вас заинтересует