Ответы
Ответ дал:
0
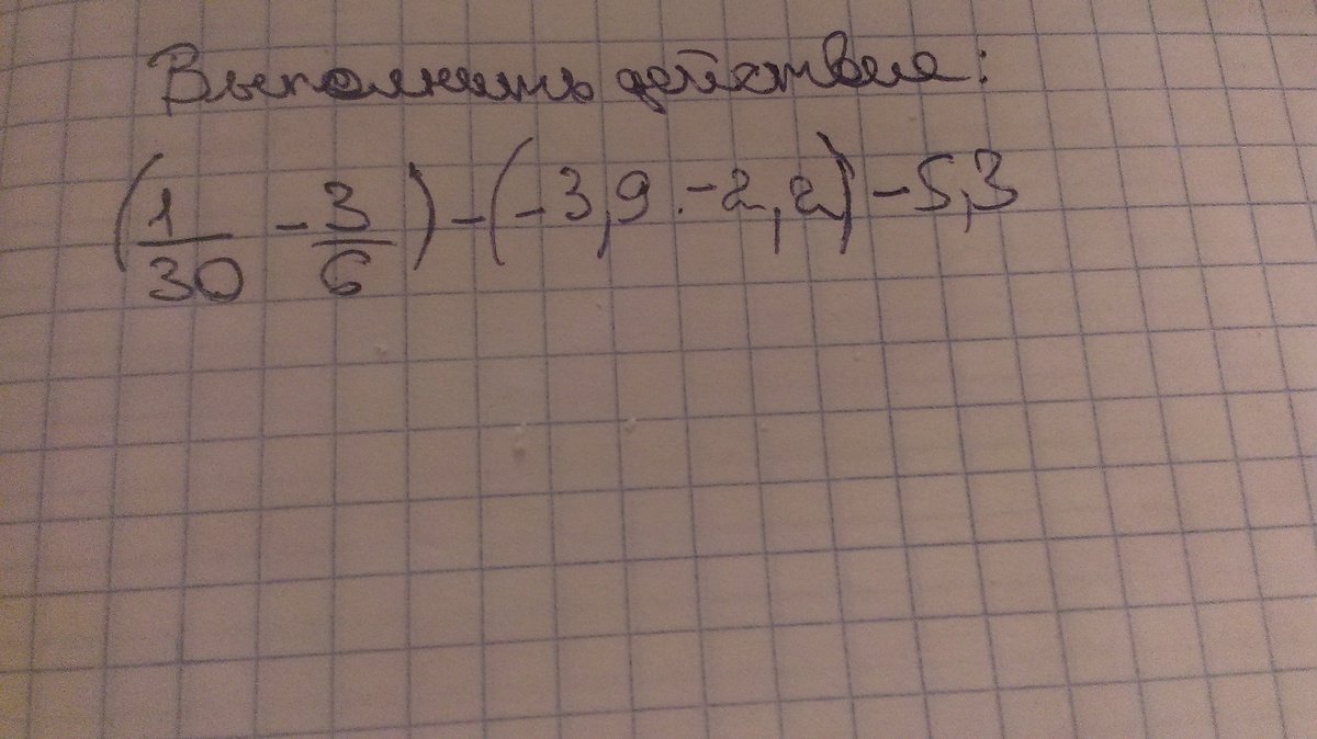
1) 1/30 - 3/6=1/30 - 15/30 = - 14/30
2) -3,9-2,2= - 6,1
3) -14/30 - (-6,1) = -14/30 + 6 1/10 = -14/30 + 6 3/30 =-14/30 + 5 33/30 = 5 19/30
4) 5 19/30 - 5,3 = 5 19/30 - 5 3/10 = 5 19/30 - 5 9/30 = 5 10 /30 = 5 1/3
ОТВЕТ 5 1/3
2) -3,9-2,2= - 6,1
3) -14/30 - (-6,1) = -14/30 + 6 1/10 = -14/30 + 6 3/30 =-14/30 + 5 33/30 = 5 19/30
4) 5 19/30 - 5,3 = 5 19/30 - 5 3/10 = 5 19/30 - 5 9/30 = 5 10 /30 = 5 1/3
ОТВЕТ 5 1/3
Ответ дал:
0
1) 1/30-3/6=1/30-15/30= -14/30= -7/15
2) -3,9-2,2= -6,1
3) -7/15+6 1/10= -7/15+61/10= -14/30+183/30=169/30
4) 169/30-5 3/10=169/30-53/10=169/30-159/30=10/30=1/3
2) -3,9-2,2= -6,1
3) -7/15+6 1/10= -7/15+61/10= -14/30+183/30=169/30
4) 169/30-5 3/10=169/30-53/10=169/30-159/30=10/30=1/3
Вас заинтересует
3 года назад
3 года назад
8 лет назад
8 лет назад
11 лет назад
11 лет назад
11 лет назад