Ответы
Ответ дал:
0
Решение .
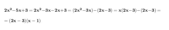
Разложим на множители квадратный трёхчлен способом группировки
Приложения:

Вас заинтересует
1 год назад
1 год назад
1 год назад
2 года назад
8 лет назад