• Предмет: Математика
  • Автор: verlezlata
  • Вопрос задан 1 год назад

1. Вычислите (50 - (-31)) : (46 - 54) ​

Ответы

Ответ дал: zakipniydania
0

Ответ:

2,375........

Пошаговое объяснение:

..............

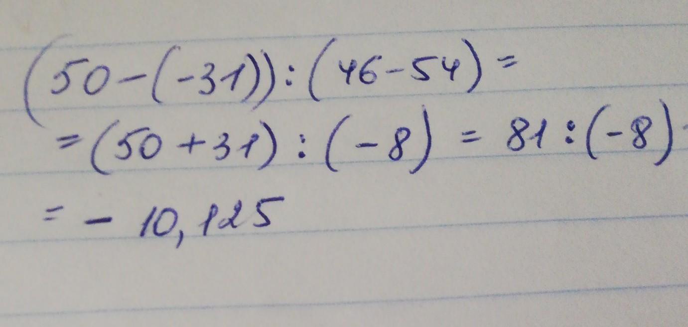
Ответ дал: larisaserova53
1

Ответ:

Смотри решение на фото..

Приложения:
Вас заинтересует