• Предмет: Алгебра
  • Автор: andrijsemenakov
  • Вопрос задан 1 год назад

ДАЮ 20 БАЛІВ !!!!!
СРОЧНО

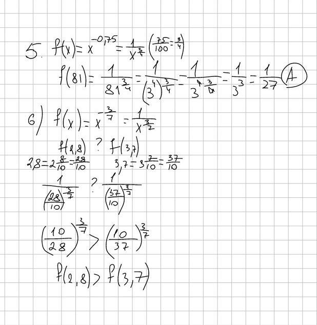
Приложения:

Ответы

Ответ дал: kgstjskhgul
1

Ответ:

.........................

Приложения:
Вас заинтересует