• Предмет: Алгебра
  • Автор: aleksandrik0
  • Вопрос задан 2 года назад

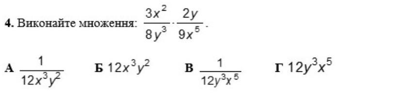
виконати завдання (написати букву)​

Приложения:

Ответы

Ответ дал: lukashdana15
0

Ответ:

Правильна відповідь:

А

Вас заинтересует