Помогите пожалуйста с решение: Найдите корень (или произведение всех корней, если их несколько) уравнение:
Приложения:

Ответы
Ответ дал:
2
Ответ:
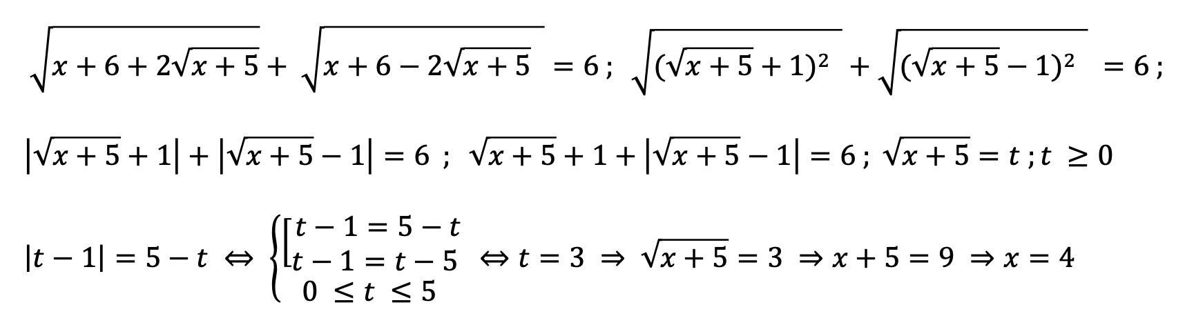
4 .............................................
Объяснение:
Приложения:

svetataran814:
благодарю Вас
Вас заинтересует
1 год назад
1 год назад
1 год назад
1 год назад
2 года назад
2 года назад
8 лет назад
8 лет назад