• Предмет: Алгебра
  • Автор: mash975
  • Вопрос задан 2 года назад

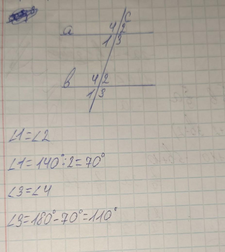
2. Прямі а і в перетнуті прямою с. Знайдіть усі утворені при цьому кути, якщо відомо, що а|| b Кут 1 + Кут 2 = 140°

Приложения:

Ответы

Ответ дал: kaktus4530
3

Ответ:

кут1=кут2=70°

кут3=кут4=110°

Приложения:
Вас заинтересует