Ответы
Ответ дал:
0
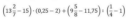
1 можно представить как одинаковый числитель деленное на знаменатель,и для каждых частей можно их представлить
Допустим нам нужно к 1/2 добавить 2
Тогда мы смотрим на дробь и берем знаменатель,то есть 2 и превращаем 1=2/2
Но из-за этого от целого числа уходит 1,то есть получаем из обычной 2
1целых 2/2
Также и в этом
13 целых 2/7 - 15
15=14 целых 7/7
Конда мы гарантированно видим что первое число больше чем второе,то просто можем от большего отнять меньшее и поставить перед ним минус,то есть
a-b=-(b-a)
Допустим
2-3=-(3-2)
Проверим в левой части -1
Справа -(1) = -1
Тогда
14 целых 7/7 - 13 целых 2/7 = 1 целых 5/7
И перед ним минус:
-1 целых 5/7
0.25-2=-1.75 также
9 целых 5/8
1/8 это 0.125
Тогда 5/8 = 0.125*5=0.625
9.625-11.75=2.125
1/4=0.25
0.25-1=-0.75
(-1целых 5/7) * (-1.75) = 12/7 * 7/4 =3
2.125/-0.75
2 целых 1/8=17/8
17/8/3/4 = 17/8 * 4/3 = -17/6
3+(-17/6)=2 целых 6/6 - 2 целых 5/6 = -1/6
Допустим нам нужно к 1/2 добавить 2
Тогда мы смотрим на дробь и берем знаменатель,то есть 2 и превращаем 1=2/2
Но из-за этого от целого числа уходит 1,то есть получаем из обычной 2
1целых 2/2
Также и в этом
13 целых 2/7 - 15
15=14 целых 7/7
Конда мы гарантированно видим что первое число больше чем второе,то просто можем от большего отнять меньшее и поставить перед ним минус,то есть
a-b=-(b-a)
Допустим
2-3=-(3-2)
Проверим в левой части -1
Справа -(1) = -1
Тогда
14 целых 7/7 - 13 целых 2/7 = 1 целых 5/7
И перед ним минус:
-1 целых 5/7
0.25-2=-1.75 также
9 целых 5/8
1/8 это 0.125
Тогда 5/8 = 0.125*5=0.625
9.625-11.75=2.125
1/4=0.25
0.25-1=-0.75
(-1целых 5/7) * (-1.75) = 12/7 * 7/4 =3
2.125/-0.75
2 целых 1/8=17/8
17/8/3/4 = 17/8 * 4/3 = -17/6
3+(-17/6)=2 целых 6/6 - 2 целых 5/6 = -1/6
saduakasadil7:
Ой, в конце плюс а не мину, из-за этого ответ будет : 35/6 иначе 5 целых 5:6
дай просто ответ
Ответ 5 целых 5/6
Вас заинтересует
1 год назад
1 год назад
3 года назад
8 лет назад
8 лет назад