Ответы
Ответ дал:
0
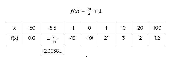
Відповідь: 0.6, -2.363636..., -19, ÷0!, 21, 3, 2, 1.2.
Приложения:

Вас заинтересует
1 год назад
1 год назад
1 год назад
2 года назад
2 года назад
8 лет назад