Помогите просто нужно выполнить умножение и деленике дробей!только нечетные примеры Фото внутри ПОМОГИТЕ пожайлуста



Ответы
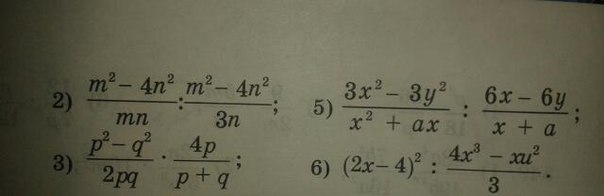
1 фото!
5) сначала при делении переворачиваем дробь. 3х2-3у2 (черта дроби) х2+ах множить всю эту дробь на х+а (черта дроби) 6х-6у = 3(х2-у2) (черта дроби) х (х+а) умножить на х+а (черта дроби) 6(х-у) = 3(х-у)(х+у) (черта дроби) х умножить на 1 (черта дроби) 6(х-у) = 3 (х+у) (черта дроби) 6х = х+у (черта дроби) 2х. Ответ: х+у (черта дроби) 2х
2 фото!
554. сразу решение:
(а+3) (а+3) (черта дроби) 2(а-2) умножить на а2-2 (в квадрате) (черта дроби) 3(а+3) = а+3 (черта дроби) 2(а-2) умножить на (а-2) (а+2) (черта дроби) 3 = (а+3) (а+2) (черта дроби) 6 . Ответ: (а+3) (а+2) (черта дроби) 6.
Надеюсь ты поймешь)