• Предмет: Алгебра
  • Автор: ann666
  • Вопрос задан 10 лет назад

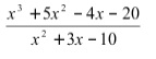
Сократить дробь. заранее спасибо

Приложения:

Ответы

Ответ дал: Аноним
0
(x²(x+5)-4(x+5))/(x+5)(x-2)=(x+5)(x-2)(x+2)/(x+5)(x-2)=x+2

x²+3x-10=(x+5)(x-2)
x1+x2=-3 U x1*x2=-10⇒x1=-5 U x2=2
Вас заинтересует