• Предмет: Алгебра
  • Автор: kiriltodorkov
  • Вопрос задан 1 год назад

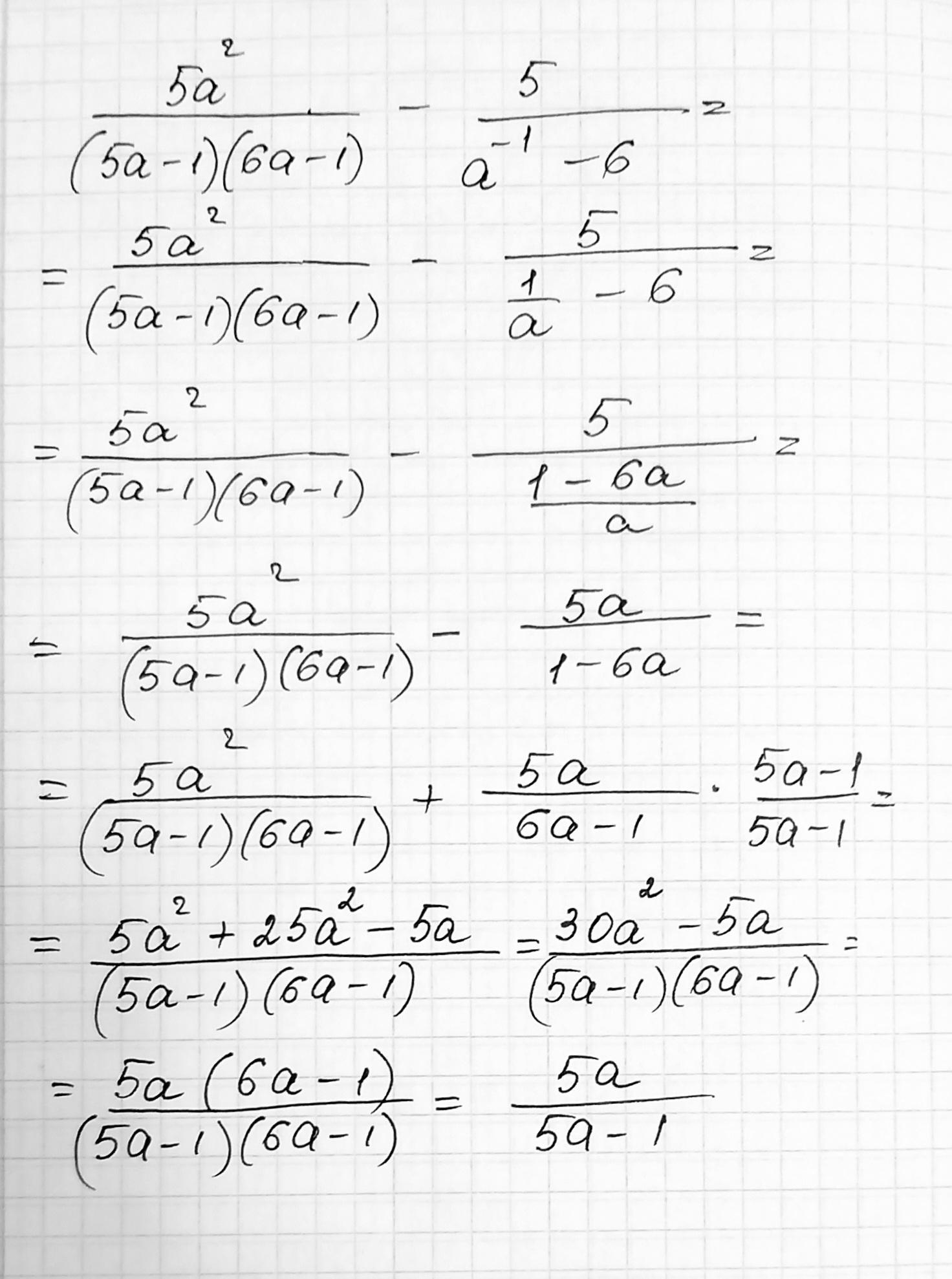
Спростіть вираз! Дам 100 балів

Приложения:

Ответы

Ответ дал: ВладимирБ
1

Ответ:

Объяснение:

решение на фото

Приложения:
Вас заинтересует