Допоможіть вирішити задачу
Подарую 10 балів !!!!
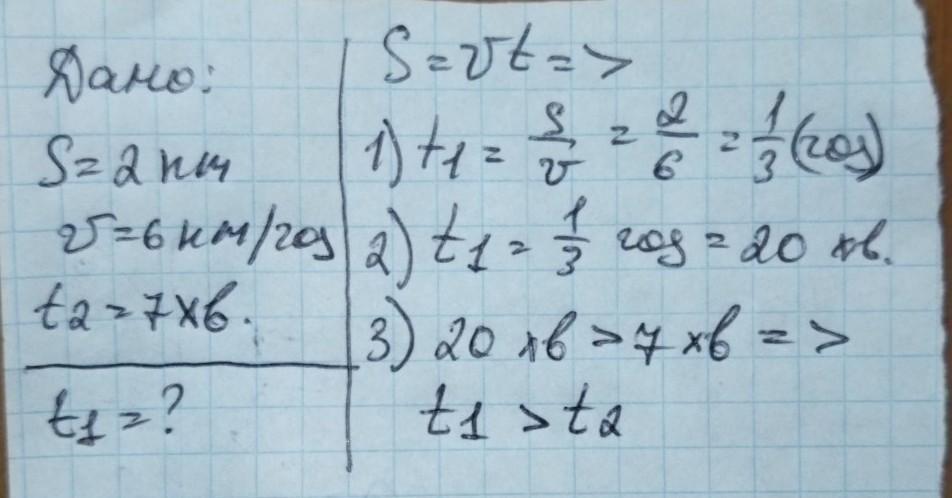
Відстань від домі Віті до гімназії 2 км. Знайдіть скільки часу знадобиться хлопцю щоб дійти до гімназії якщо вважати що він рухається з постійною швидкістю 6 км/год відомо що подолати цю відстань і з татом на авто можна за 7 хвилин порівняйте визначений час з поданим.
elina200816:
не 20 а 10(5)
Ответы
Ответ дал:
0
Ответ:
Пошаговое объяснение:
время=расстояние/скорость
1)2км/6км/год=1/3 год = 0,33 години знадобиться хлопцю дійти до гімназії
2) 7 хвилин це 7/60=0,117 години
3) 0,33 години більше ніж 0,117 годин, тому на авто буде бистріше
Ответ дал:
0
Відповідь:
Дивитися фото нижче.
Покрокове пояснення:
Приложения:

Вас заинтересует
1 год назад
1 год назад
1 год назад
2 года назад
8 лет назад