• Предмет: Алгебра
  • Автор: babidgoy
  • Вопрос задан 1 год назад

ПОМОГИТЕ СРОЧНО 70 БАЛЛОВ
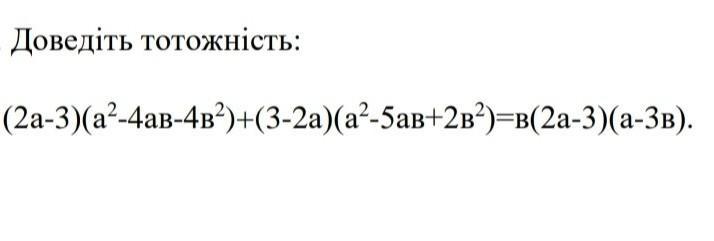
Доведіть тотожність: (2а-3)(а²-4ав-4в²)+(3-2а)(а²-5ав+2в²)=в(2а-3)(а-3в).
ПОМОГИТЕ ПОЖАЛУЙСТА, 70 БАЛЛОВ ​

Приложения:

Ответы

Ответ дал: buduzdatnikita
0

Ответ: Все очень просто 2+2=4 легко

Объяснение:100% правильно

Вас заинтересует